固体所在V2O3金属-绝缘体相变的调控方面取得新进展

发布日期:2024-03-13 作者:张国栋 浏览次数:1225

近日,中国科学院合肥物质院固体所功能材料物理与器件研究部在V2O3金属-绝缘体相变的调控方面取得新进展,相关研究结果以“Tunable metal-insulator transition in strained V2O3 thin films epitaxially grown on SiC substrates”为题发表在Physical Review Materials (Phys. Rev. Mater. 8, 035001 (2024))。

V2O3作为典型的强电子关联氧化物,在化学掺杂、压力和温度等作用下发生从顺磁金属(PM)相到顺磁绝缘体(PI)相和反铁磁绝缘体(AFI)相之间的转变,同时伴随着电学、磁性和光学等物性的显著改变,这种独特的物理特性使其在光电开关、智能窗口、信息存储等领域具有广阔的应用前景。因此,V2O3金属-绝缘体相变一直是凝聚态物理和材料科学的研究热点。然而,难以在半导体衬底上实现V2O3薄膜的外延生长极大限制了相关的应用研究。

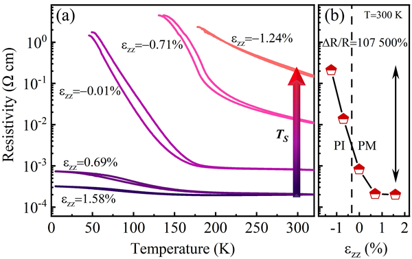
研究人员通过晶格对称性和失配度分析发现宽禁带半导体4H-SiC是一种适合V2O3薄膜外延生长的衬底材料。如图1所示,V2O3和4H-SiC的(001)面内分别具有类似的氧和硅(碳)密排结构,两者之间的失配度和夹角分别为5.2%和30°,从而可以通过三角匹配的方式实现V2O3薄膜在4H-SiC衬底上的外延生长。通过衬底温度调制V2O3薄膜生长过程中的动力学及其应力弛豫度,利用V2O3和4H-SiC之间的晶格/热膨胀系数失配实现了应力(εzz)的大范围连续调节(-1.24%≤εzz≤1.58%)。如图2所示,当εzz=1.58%时,PM-AFI相变被强烈抑制;随着应力的减小,PM-AFI相变逐渐恢复;当εzz=-0.71%和-1.24%时,PM相转变为PI相,该相变所导致的电阻率变化∆R/R=107500%。拉曼光谱的实验结果表明应力通过调制三角畸变诱导了PM-PI相变。该研究为V2O3金属-绝缘体相变调控和基于V2O3薄膜的Mott器件构筑提供了新的实验证据和研究平台。

该工作中,通过改变衬底温度实现薄膜应力的调节是调控V2O3金属-绝缘体相变的关键。区别于通过改变衬底或薄膜厚度等热力学条件而实现应力调节的方法,这是一种简单有效的基于薄膜生长动力学调制的方法。课题组近年来采用该方法在V2O3/Al2O3薄膜和(V0.99Cr0.01)2O3/Al2O3薄膜中实现了应力的大范围连续调节和PM-PI/AFI相变的调控,阐明了相变机理(Phys. Rev. B 103, 085119 (2021); Phys. Rev. B 105, 035140 (2022))。研究团队前期还基于电子关联的设计思路,发现V2O3薄膜是一种高性能的空穴型透明导电氧化物材料(Phys. Rev. Applied 12, 044035 (2019)),并进一步通过压缩应力利用晶格、电荷和轨道自由度之间的耦合作用实现了V2O3薄膜载流子浓度和电导率的提高(Appl. Phys. Lett. 121, 061903 (2022))。

上述研究得到了安徽省重点研发计划、中国科学院合肥大科学全球领先的电竞赛事平台协同创新培育基金和国家自然科学基金的资助。

论文链接: https://journals.aps.org/prmaterials/abstract/10.1103/PhysRevMaterials.8.035001

图1. V2O3和4H-SiC (001)平面示意图。


图2. 不同应力状态下V2O3/4H-SiC薄膜的电阻率-温度关系(a)和室温电阻率随应力变化关系(b)。